Kiedy czujnik czadu jest niezbędny? Sprawdź, czy Ty go potrzebujesz!
Dowiedz się, czy potrzebujesz czujnika czadu i które urządzenia stwarzają ryzyko. Poznaj przepisy i praktyczne wskazówki montażu.
Dowiedz się, czy potrzebujesz czujnika czadu i które urządzenia stwarzają ryzyko. Poznaj przepisy i praktyczne wskazówki montażu.
Czy klasa kotła D istnieje? Nie. Poznaj klasy 35 i Ecodesign, terminy wymiany, dofinansowania. Sprawdź, jak przejść na nowoczesne ogrzewanie.
Poznaj aktualne ceny pelletu w marcu 2026 i czynniki wpływające na koszt. Dowiedz się, jak kupować taniej i porównaj pellet z ekogroszkiem.
Dowiedz się, jak odpowietrzyć grzejniki krok po kroku. Praktyczny poradnik, który usprawni ogrzewanie i obniży rachunki. Sprawdź nasz poradnik.
Dowiedz się, jak bezpiecznie przetestować czujnik czadu: testem, gazem testowym i konserwacją, by spać spokojnie.
Poznaj aktualne ceny pelletu (marzec 2026): widełki, czynniki i praktyczne sposoby oszczędzania. Sprawdź nasz przewodnik.
Dowiedz się, ile pelletu spala kocioł i jak oszacować koszty ogrzewania pelletem. Sprawdź praktyczne metody i porady optymalizacji spalania.
Praktyczny przewodnik: jak obrobić komin na dachu z blachy trapezowej narzędzia, materiały, techniki i typowe błędy. Sprawdź nasz poradnik.
Praktyczny poradnik: podłączenie kominka do przewodu kominowego dowiedz się, jak zapewnić bezpieczeństwo, wydajność i odbiór.
Ogrzewanie podłogowe: kompleksowy koszt instalacji i eksploatacji (wodne vs elektryczne) - dowiedz się, co wybrać.
Czy czujnik czadu wykrywa gaz? Dowiedz się, jakie są różnice między czadem a gazem, jak wybrać i prawidłowo zamontować czujniki oraz niezbędne certyfikaty
Szukasz kotła CO w Kutnie? Przewodnik po dostępnych typach, lokalnych dostawcach i dotacjach (Czyste Powietrze). Dowiedz się, jak wybrać i oszczędzić.
Gdzie kupić ekogroszek: porównanie kanałów, kluczowe parametry, certyfikaty i koszty. Dowiedz się, jak wybrać tanio i bezpiecznie.
Przewodnik po zakupie ekogroszku w Niemczech: porównaj ceny, parametry i transport, poznaj przepisy, dowiedz się, czy warto. Sprawdź teraz.
Dowiedz się, jak samodzielnie uszczelnić komin na dachu: diagnoza, materiały, kroki i bezpieczeństwo. Sprawdź nasz praktyczny poradnik.
Poznaj podstawy kotłów na paliwo stałe: czym są, jak działają, dopuszczone paliwa i przepisy Ekoprojektu, 5. klasa, uchwały. Sprawdź przewodnik.
Dowiedz się, jaki grzejnik elektryczny zużywa najmniej prądu. Porównanie typów i praktyczne wskazówki oszczędnościowe. Sprawdź teraz.
Ogrzewanie podłogowe: jak działa, wodne vs elektryczne, koszty, dobór podłogi i praktyczne wskazówki. Sprawdź nasz kompleksowy poradnik.
Chcesz wykończyć komin wewnątrz? Poradnik porównuje materiały: cegła, kamień, tynk, beton, i podpowiada bezpieczny dobór. Dowiedz się więcej.
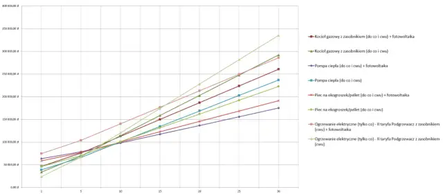
Kocioł elektryczny do centralnego ogrzewania: koszty, dobór mocy, wady i zalety, PV i dofinansowania. Sprawdź, czy to opłacalne i jak wybrać.
Dowiedz się, gdzie i jak prawidłowo zamontować czujnik czadu, aby skutecznie chronić dom. Sprawdź nasz praktyczny przewodnik krok po kroku.
Dowiedz się, jak legalnie importować pellet z Ukrainy: cła, VAT, dokumenty, logistyka, jakość i kalkulacja kosztów. Sprawdź nasz poradnik.
Gdzie kupić ekogroszek online w 2026? Porównanie ofert, bezpieczne zakupy i lista zaufanych sprzedawców. Dowiedz się, jak oszczędzić.
Ile styropianu pod ogrzewanie podłogowe? Sprawdź optymalne grubości dla gruntu, piętra i piwnicy, oraz parametry EPS/λ. Dowiedz się, jak oszczędzać energię.
Dowiedz się, czym jest kocioł 5. klasy i jakie korzyści, normy PN-EN 303-5 oraz dofinansowania towarzyszą tej inwestycji. Sprawdź przewodnik.
Iskry z komina to alarm. Dowiedz się, co je powoduje, jak ocenić ryzyko i co robić natychmiast, by zapobiec pożarowi. Sprawdź nasze praktyczne wskazówki.
Dowiedz się, jak natychmiast wyciszyć alarm czujnika czadu i bezpiecznie zbadać przyczynę; szczegółowy przewodnik krok po kroku.