Dobierz grzejnik 20 m²: Jak obliczyć moc? Poradnik krok po kroku
Jak dobrać moc grzejnika do 20 m²: prosty kalkulator, kluczowe czynniki izolacji, praktyczne obliczenia i przykłady. Sprawdź nasz poradnik.
Jak dobrać moc grzejnika do 20 m²: prosty kalkulator, kluczowe czynniki izolacji, praktyczne obliczenia i przykłady. Sprawdź nasz poradnik.
Kocioł 50 kW: do jakich obiektów, porównanie paliw (ekogroszek, pellet, drewno), Ekoprojekt i 5. klasa, koszty i dofinansowania. Sprawdź poradnik.
Dowiedz się, jak dobrać odpowiednią średnicę komina do pieca węglowego: moc, paliwo, wysokość i normy. Sprawdź praktyczny poradnik.
Dowiedz się, jakie progi alarmowe CO (PPM) powinien mieć czujnik czadu zgodny PN-EN 50291-1. Poznaj skutki zdrowotne i co robić przy alarmie.
Kocioł 15 kW z podajnikiem: jak wybrać, pellet czy ekogroszek, koszty i dotacje. Dowiedz się o Ecodesign i 5. klasie. Sprawdź przewodnik.
Jak założyć komin? Poznaj krok po kroku montaż systemowy i murowany, formalności prawne, bezpieczeństwo i wybór materiałów. Sprawdź poradnik.
Czy kupisz ekogroszek od gminy? Sprawdź, dlaczego program się zakończył i gdzie legalnie kupić opał na zimę. Poznaj parametry i uniknij oszustw.
Poznaj zasady działania ogrzewania gazowego: od dostawy gazu do grzejników, kondensacja, bezpieczeństwo. Dowiedz się, jak wybrać i obsługiwać.
Piszczy czujnik czadu? Dowiedz się, jak rozróżnić alarm od problemów i co zrobić, by zapobiegać fałszywym alarmom. Przeczytaj poradnik.
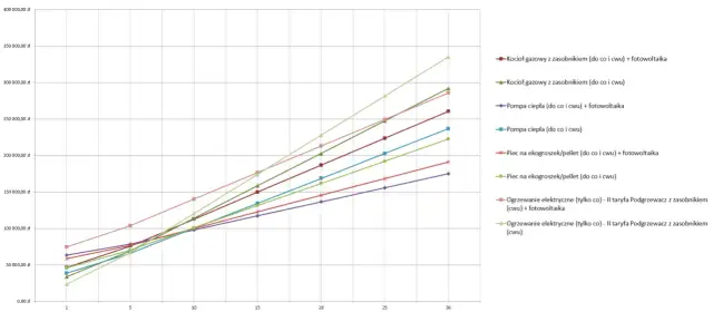
Ile kosztuje ogrzewanie domu w 2026? Sprawdź analizę kosztów pompy ciepła, gazu, pelletu. Dowiedz się, jak obniżyć rachunki i skorzystać z dofinansowań.
Poznaj sterownik IE-24n do kotłów zasypowych: jak podłączyć, skonfigurować i zabezpieczyć instalację. Sprawdź, czy to odpowiedni model dla Twojego kotła.
Poznaj ekogroszek: definicja, kluczowe parametry, wpływ na środowisko i na co zwracać uwagę przy zakupie. Dowiedz się, czy to dobry wybór.
Dowiedz się, jak zidentyfikować i zmniejszyć nadmierny ciąg kominowy. Praktyczny przewodnik po metodach i kosztach - sprawdź nasz poradnik.
Zakręcanie grzejników na noc mit czy oszczędność? Dowiedz się, jak obniżyć o 13°C, utrzymać komfort i zdrowie oraz uniknąć pleśni. Sprawdź przewodnik
Dowiedz się, z czego powstaje brykiet opałowy i jakie surowce dominują w Polsce. Poznaj proces produkcji, wartości opałowe i kwestie ekologiczne.
Piecbud - polski producent kotłów CO. Dowiedz się, jak 5. Klasa i Ecodesign obniżają koszty i emisje. Sprawdź ofertę i autoryzowanych dystrybutorów.
Dowiedz się, jaka średnica komina do pieca na ekogroszek (1620 cm) zapewnia ciąg i redukuje kondensat. Praktyczny przewodnik i wskazówki DTR.
Gdzie zamontować czujnik dymu i czadu? Przewodnik krok po kroku: lokalizacje, błędy, praktyczne wskazówki. Zwiększ bezpieczeństwo domu. Sprawdź.
Przewodnik doboru pompy ciepła do domu 180 m² z grzejnikami: analiza mocy, rozwiązania, koszty i dofinansowania (Czyste Powietrze, Moje Ciepło). Sprawdź.
Poznaj różnice między czujnikiem czadu a czujnikiem gazu, gdzie je montować i czy 2w1 to dobre rozwiązanie. Przeczytaj praktyczny przewodnik.
Dowiedz się, jak obrobić komin papą termozgrzewalną: przygotowanie podłoża, zgrzewanie i zakłady. Sprawdź nasz praktyczny przewodnik.
Kocioł MPM DS kompleksowy poradnik: parametry, 5. klasa, Ecodesign, koszty i oszczędności. Dowiedz się, czy to dobry wybór dla Twojego domu.
Czy w 2026 roku dostaniesz dotacje na ekogroszek? Dowiedz się, dlaczego ich nie ma, co jest wspierane i jak uzyskać środki na pompę ciepła lub pellet.
Chcesz wybrać komin do CO? Dowiedz się, jaki rodzaj komina dopasować do paliwa i kotła, jakie są koszty, przepisy i montaż. Sprawdź nasz przewodnik.
Jak wybrać mały kocioł CO? Poznaj typy, moce, koszty eksploatacji i dotacje. Uniknij błędów i ogrzewaj efektywnie. Sprawdź nasz poradnik!
Koszty ogrzewania gazem w Polsce: dowiedz się, ile zapłacisz, co wpływa na rachunek i jak porównać gaz z pompą ciepła. Sprawdź nasz przewodnik.
Dowiedz się, co oznacza L6 na czujniku czadu, jakie zagrożenia niesie i jak bezpiecznie reagować praktyczny przewodnik krok po kroku.