
Który ekogroszek PGG wybrać? Poradnik i porównanie
Ekogroszek PGG: Karlik vs Pieklorz kaloryczność, popiół, siarka i RI. Dowiedz się, jak dopasować paliwo do kotła i oszczędzić na ogrzewaniu.
Jestem Szymon Szymczak, specjalizuję się w tematyce ogrzewania. Od ponad sześciu lat analizuję rynek oraz piszę artykuły dotyczące innowacyjnych rozwiązań grzewczych. Moje doświadczenie pozwala mi na głębokie zrozumienie technologii i trendów w tej dziedzinie, a także na dostarczanie rzetelnych informacji, które pomagają czytelnikom podejmować świadome decyzje. Moim celem jest uproszczenie złożonych zagadnień, aby każdy mógł łatwo zrozumieć, jak działają różne systemy ogrzewania. Dążę do tego, aby moje teksty były aktualne i oparte na faktach, co buduje zaufanie wśród mojej społeczności. Dzięki temu, odwiedzający kulimar.pl mogą liczyć na wartościowe treści, które odpowiadają na ich pytania i potrzeby.

Ekogroszek PGG: Karlik vs Pieklorz kaloryczność, popiół, siarka i RI. Dowiedz się, jak dopasować paliwo do kotła i oszczędzić na ogrzewaniu.

Dowiedz się, co powoduje nadmierne dymienie z komina i jak je ograniczyć krok po kroku. Praktyczny przewodnik z poradami i przepisami antysmogowymi.

Mieszanie ekogroszku z trocinami? Sprawdź ryzyko dla kotła, gwarancji i emisji. Dowiedz się, jak bezpiecznie obniżyć koszty ogrzewania.

Dowiedz się, jak bezpiecznie przeprowadzić demontaż grzejnika aluminiowego: przygotowanie, spuszczanie wody i ponowny montaż. Sprawdź poradnik.

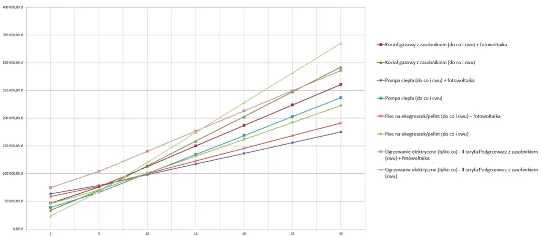
Jaki kocioł na 300 m²? Dowiedz się, jak obliczyć moc i porównać gaz, pellet i pompę ciepła, uwzględniając Ekoprojekt i dofinansowanie. Sprawdź przewodnik.

Zakres obowiązków kominiarza: co to obejmuje i co musi zrobić właściciel. Dowiedz się, kiedy potrzebny jest przegląd, a kiedy czyszczenie. Sprawdź poradnik.

Zawirowywacze spalin w kotłach: czym są, jak działają i dlaczego podnoszą sprawność oraz obniżają koszty ogrzewania. Sprawdź, jak o nie dbać.

Sprawdź, czy w 2026 r. dostaniesz dofinansowanie do ogrzewania gazem ziemnym: bon energetyczny, progi dochodowe, CEEB i jak złożyć wniosek.

Dowiedz się, dlaczego zakup ekogroszku z Rosji jest niemożliwy, jakie sankcje obowiązują i jakie legalne alternatywy czekają na polskim rynku.

Jak założyć komin? Poznaj krok po kroku montaż systemowy i murowany, formalności prawne, bezpieczeństwo i wybór materiałów. Sprawdź poradnik.