
Czujnik czadu piszczy? Sprawdź, co to znaczy i jak reagować
Piszczy czujnik czadu? Dowiedz się, jak rozróżnić alarm od problemów i co zrobić, by zapobiegać fałszywym alarmom. Przeczytaj poradnik.
Jestem Szymon Szymczak, specjalizuję się w tematyce ogrzewania. Od ponad sześciu lat analizuję rynek oraz piszę artykuły dotyczące innowacyjnych rozwiązań grzewczych. Moje doświadczenie pozwala mi na głębokie zrozumienie technologii i trendów w tej dziedzinie, a także na dostarczanie rzetelnych informacji, które pomagają czytelnikom podejmować świadome decyzje. Moim celem jest uproszczenie złożonych zagadnień, aby każdy mógł łatwo zrozumieć, jak działają różne systemy ogrzewania. Dążę do tego, aby moje teksty były aktualne i oparte na faktach, co buduje zaufanie wśród mojej społeczności. Dzięki temu, odwiedzający kulimar.pl mogą liczyć na wartościowe treści, które odpowiadają na ich pytania i potrzeby.

Piszczy czujnik czadu? Dowiedz się, jak rozróżnić alarm od problemów i co zrobić, by zapobiegać fałszywym alarmom. Przeczytaj poradnik.

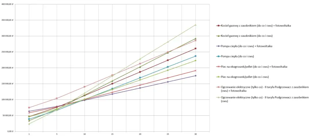
Poznaj koszty instalacji i roczne wydatki ogrzewania w Polsce w 2026 roku. Porównaj pompę ciepła, gaz, pellet i elektryczne oraz sprawdź dofinansowania.

Poznaj sterownik IE-24n do kotłów zasypowych: jak podłączyć, skonfigurować i zabezpieczyć instalację. Sprawdź, czy to odpowiedni model dla Twojego kotła.

Poznaj ekogroszek: definicja, kluczowe parametry, wpływ na środowisko i na co zwracać uwagę przy zakupie. Dowiedz się, czy to dobry wybór.

Dowiedz się, jak obrobić komin papą termozgrzewalną: przygotowanie podłoża, zgrzewanie i zakłady. Sprawdź nasz praktyczny przewodnik.

Mały kocioł CO: czym się różni, moc, typy (gazowy kondensacyjny, elektryczny, pellet), przepisy i koszty. Dowiedz się, jak wybrać najlepszy.

Koszty ogrzewania gazem w Polsce: dowiedz się, ile zapłacisz, co wpływa na rachunek i jak porównać gaz z pompą ciepła. Sprawdź nasz przewodnik.

Dowiedz się, jak bez stresu kupić ekogroszek w sklepie PGG: rejestracja, sesje zakupowe, dostawy i praktyczne wskazówki krok po kroku.

Praktyczny przewodnik: jak obrobić komin na dachu z blachy trapezowej narzędzia, materiały, techniki i typowe błędy. Sprawdź nasz poradnik.

Ogrzewanie podłogowe: kompleksowy koszt instalacji i eksploatacji (wodne vs elektryczne) - dowiedz się, co wybrać.