Wybór odpowiedniego kotła centralnego ogrzewania z podajnikiem o mocy 15 kW to kluczowa decyzja, która wpłynie na komfort cieplny Twojego domu i domowy budżet przez lata. Ten artykuł jest kompleksowym przewodnikiem, który pomoże Ci przejść przez proces selekcji, porównać dostępne opcje i podjąć świadomą decyzję, unikając kosztownych błędów, byś mógł cieszyć się efektywnym i ekonomicznym ogrzewaniem.
Wybór kotła CO z podajnikiem 15 kW to inwestycja wymagająca szczegółowej analizy
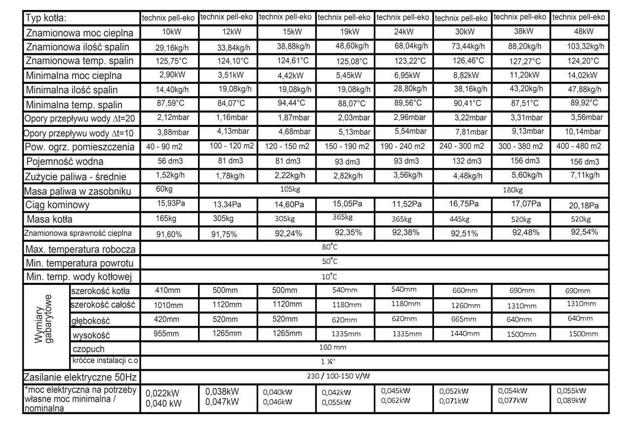
- Kocioł 15 kW jest odpowiedni dla domów o powierzchni od 90 do 150 m², w zależności od izolacji budynku.
- Nowoczesne kotły muszą spełniać normy 5. Klasy i Ecodesign, co jest warunkiem legalnej instalacji i uzyskania dofinansowania.
- Decyzja między ekogroszkiem a pelletem wpływa na koszty eksploatacji, wygodę użytkowania i aspekty ekologiczne.
- Program "Czyste Powietrze" oferuje dotacje na wymianę starych pieców na ekologiczne kotły, w tym na pellet o podwyższonym standardzie.
- Oprócz ceny kotła, należy uwzględnić koszty montażu, modernizacji kotłowni i ewentualnych dodatkowych elementów instalacji.
- Unikaj błędów takich jak niewłaściwy dobór mocy, brak dopasowania do komina czy ignorowanie kwestii serwisu.

Czy kocioł o mocy 15 kW to na pewno wybór dla Twojego domu
Na jaki metraż wystarczy kocioł 15 kW? Różnice między nowym a starym budownictwem.
Wybór kotła o mocy 15 kW to zazwyczaj decyzja dla domów o powierzchni mieszczącej się w przedziale od około 90 do 150 metrów kwadratowych. Jednakże, kluczowym czynnikiem decydującym o tym, czy taka moc będzie wystarczająca, jest stopień izolacji termicznej budynku. W przypadku nowoczesnych, dobrze ocieplonych domów, które charakteryzują się niskim zapotrzebowaniem na ciepło, kocioł 15 kW może bez problemu ogrzać nawet 150 m². Z drugiej strony, starsze budownictwo, często gorzej izolowane, będzie wymagało kotła o tej samej mocy do ogrzania mniejszej powierzchni. Dlatego tak ważne jest, aby nie kierować się wyłącznie metrażem, ale przede wszystkim realnym zapotrzebowaniem cieplnym naszego domu.
Jak nie popełnić błędu? Proste kroki do obliczenia zapotrzebowania na ciepło.
Aby uniknąć kosztownych błędów związanych z niewłaściwym doborem mocy kotła, należy precyzyjnie obliczyć zapotrzebowanie na ciepło dla konkretnego budynku. Istnieje kilka sprawdzonych metod. Najbardziej dokładną jest audyt energetyczny, który kompleksowo analizuje parametry cieplne budynku. Alternatywnie, można skorzystać z pomocy projektanta instalacji grzewczych, który na podstawie planów i specyfikacji technicznej budynku dokona precyzyjnych obliczeń. Dla osób preferujących samodzielne działanie, dostępne są również liczne kalkulatory online, które po wprowadzeniu podstawowych danych o budynku (powierzchnia, rok budowy, rodzaj izolacji) podadzą szacunkowe zapotrzebowanie na ciepło. Pamiętaj, że dokładne obliczenia to fundament optymalnego wyboru mocy kotła.
Przewymiarowany kocioł dlaczego to większy problem, niż myślisz?
Wielu inwestorów popełnia błąd, sądząc, że większa moc kotła zawsze oznacza lepsze ogrzewanie. Nic bardziej mylnego. Przewymiarowany kocioł generuje szereg problemów. Przede wszystkim, jego praca jest znacznie mniej efektywna. Kocioł często włącza się i wyłącza w krótkich cyklach, co nazywane jest taktowaniem. Taka praca nie tylko nie zapewnia stabilnej temperatury, ale także prowadzi do zwiększonego zużycia paliwa i szybszego zużycia samego urządzenia. Dodatkowo, niepełne spalanie w takich warunkach generuje więcej zanieczyszczeń i substancji smolistych, które osadzają się w kotle i kominie, zwiększając ryzyko awarii i konieczność częstszego serwisowania. Krótko mówiąc, przewymiarowany kocioł to nie oszczędność, a wręcz przeciwnie wyższe koszty i mniejszy komfort.
Ekogroszek czy pellet? Rozstrzygamy kluczowy dylemat przed zakupem kotła 15 kW
Porównanie rocznych kosztów ogrzewania: portfel prawdę Ci powie.
Decydując się na kocioł z podajnikiem, stajemy przed wyborem paliwa: ekogroszku czy pelletu. Analiza rocznych kosztów ogrzewania jest kluczowa. Generalnie, pellet drzewny jest często postrzegany jako paliwo droższe od ekogroszku, zwłaszcza jeśli porównamy ceny jednostkowe. Jednakże, należy wziąć pod uwagę jego wyższą kaloryczność i lepszą efektywność spalania w nowoczesnych kotłach, co może zniwelować początkową różnicę w cenie. Ekogroszek, choć zazwyczaj tańszy w zakupie, może generować wyższe koszty eksploatacji ze względu na niższą efektywność i potencjalnie większe straty energii. Należy pamiętać, że ceny paliw są bardzo zmienne i zależą od wielu czynników, takich jak sezon, region zakupu czy jakość paliwa. Zawsze warto zrobić rozeznanie cenowe w swojej okolicy przed podjęciem ostatecznej decyzji.
Wygoda, czystość i obsługa co w praktyce oznacza ogrzewanie pelletem, a co ekogroszkiem?
Różnice w codziennym użytkowaniu kotłów na pellet i ekogroszek są znaczące. Kotły na pellet oferują wyższy poziom automatyzacji. Zasypanie paliwa do dużego zasobnika raz na kilka dni (lub nawet rzadziej, w zależności od wielkości zbiornika i zapotrzebowania na ciepło) pozwala na długotrwałe, bezobsługowe działanie. Proces spalania jest czystszy, generuje mniej popiołu, a samo paliwo jest suche i nie pylące, co ułatwia jego magazynowanie i transport. Kotły na ekogroszek wymagają częstszego doglądania. Chociaż również posiadają podajnik, to proces usuwania popiołu jest bardziej uciążliwy, a samo paliwo może być bardziej pylące, co wymaga staranniejszego przechowywania i może powodować większe zabrudzenie w kotłowni. Konserwacja kotła na ekogroszek jest zazwyczaj bardziej czasochłonna.
Dostępność i jakość paliwa w Twoim regionie na co zwrócić uwagę?
Niezależnie od wyboru między pelletem a ekogroszkiem, dostępność i jakość paliwa w Twoim regionie to kwestie, którym należy poświęcić szczególną uwagę. W przypadku pelletu, kluczowe są certyfikaty jakości, takie jak DIN Plus czy ENplus A1. Paliwo posiadające takie atesty gwarantuje odpowiednią wilgotność, granulację i kaloryczność, co przekłada się na stabilną pracę kotła, jego wysoką sprawność i niską emisję szkodliwych substancji. Unikaj pelletu niecertyfikowanego, który może zawierać zanieczyszczenia i powodować problemy z pracą kotła. Podobnie w przypadku ekogroszku, należy zwracać uwagę na jego jakość. Unikaj tzw. miału węglowego, który charakteryzuje się niską kalorycznością i dużą zawartością miału węglowego, co może prowadzić do problemów ze spalaniem i zanieczyszczaniem kotła. Wybieraj ekogroszek o odpowiedniej granulacji i niskiej zawartości siarki.
Kluczowe parametry techniczne czyli na co patrzeć w specyfikacji kotła 15 kW?
5. Klasa i Ecodesign: dlaczego bez tych certyfikatów nie warto kupować kotła?
Współczesne kotły na paliwa stałe, w tym te o mocy 15 kW, muszą spełniać rygorystyczne normy środowiskowe. 5. Klasa (zgodna z normą PN-EN 303-5:2012) oraz Ecodesign (Ekoprojekt, zgodnie z rozporządzeniem UE 2015/1189) to nie są już opcje, a wymogi prawne dla wszystkich nowych kotłów sprzedawanych w Unii Europejskiej. Normy te określają dopuszczalne, bardzo niskie poziomy emisji szkodliwych substancji, takich jak pyły (PM), tlenek węgla (CO) czy tlenki azotu (NOx), a także wymagają wysokiej sprawności sezonowej. Bez tych certyfikatów kocioł jest nielegalny do instalacji w Polsce i uniemożliwia ubieganie się o jakiekolwiek dofinansowanie. Dlatego, przeglądając oferty, zawsze upewnij się, że kocioł posiada oba te oznaczenia.
Serce kotła: jaki palnik i podajnik zapewnią bezproblemową pracę?
Niezawodność i efektywność kotła z podajnikiem w dużej mierze zależą od zastosowanych w nim rozwiązań technicznych, w tym od typu palnika i podajnika. W kotłach na paliwa stałe najczęściej spotykamy palniki retortowe, rynnowe lub obrotowe. Palniki retortowe są popularne w kotłach na ekogroszek, podczas gdy palniki obrotowe czy rynnowe często stosuje się w kotłach na pellet, ze względu na ich specyficzne właściwości. Podajniki, zazwyczaj ślimakowe, odpowiadają za transport paliwa z zasobnika do komory spalania. Ważna jest ich solidna konstrukcja, która zapewni długą żywotność i minimalną awaryjność. Niektóre podajniki są przystosowane do konkretnych rodzajów paliwa, dlatego warto to sprawdzić w specyfikacji technicznej kotła.
Stal czy żeliwo? Wady i zalety obu rozwiązań w kontekście trwałości.
Konstrukcja kotła może być wykonana ze stali lub żeliwa, a oba materiały mają swoje wady i zalety. Kotły stalowe są zazwyczaj lżejsze, szybciej się nagrzewają i są bardziej elastyczne konstrukcyjnie, co pozwala na tworzenie bardziej zaawansowanych wymienników ciepła. Ich główną wadą jest jednak podatność na korozję niskotemperaturową, jeśli kocioł nie jest odpowiednio zabezpieczony lub eksploatowany. Kotły żeliwne cechują się wyjątkową trwałością i odpornością na korozję, nawet w trudnych warunkach pracy. Są mniej wrażliwe na wysokie temperatury i uszkodzenia mechaniczne. Ich wadami są jednak większa masa, dłuższy czas nagrzewania oraz wrażliwość na gwałtowne zmiany temperatury (tzw. szoki termiczne), które mogą prowadzić do pęknięć.
Sprawność kotła a Twoje rachunki jak odczytywać ten parametr?
Sprawność kotła to jeden z najważniejszych parametrów, który bezpośrednio wpływa na Twoje rachunki za ogrzewanie. Mówi ona o tym, jaką część energii zawartej w paliwie kocioł jest w stanie zamienić na ciepło użytkowe. Na przykład, kocioł o sprawności 90% oznacza, że 90% energii z paliwa jest efektywnie wykorzystywane do ogrzewania domu, a tylko 10% jest tracone. Im wyższa sprawność kotła, tym niższe zużycie paliwa i tym samym niższe koszty eksploatacji. Nowoczesne kotły 5. Klasy i Ecodesign, dzięki zaawansowanej konstrukcji i optymalizacji procesu spalania, osiągają znacznie wyższe sprawności niż starsze modele. Zawsze zwracaj uwagę na ten parametr w specyfikacji technicznej to klucz do oszczędności.
Nowoczesny sterownik jakie funkcje są naprawdę przydatne, a które to tylko gadżety?
Nowoczesne kotły z podajnikiem są wyposażone w zaawansowane sterowniki, które mają na celu zwiększenie komfortu użytkowania i optymalizację pracy urządzenia. Warto jednak wiedzieć, które funkcje są naprawdę przydatne, a które mogą być jedynie marketingowym dodatkiem. Do kluczowych, praktycznych funkcji należą: regulacja pogodowa (dostosowująca temperaturę wody w instalacji do warunków zewnętrznych), programowanie tygodniowe (pozwalające na ustawienie różnych harmonogramów grzewczych na poszczególne dni), sterowanie pompą CO i CWU (zapewniające optymalne działanie systemu) oraz ochrona powrotu (zapobiegająca korozji niskotemperaturowej). Możliwość podłączenia termostatu pokojowego jest również bardzo cenna, ponieważ pozwala na precyzyjne sterowanie temperaturą w pomieszczeniach. Funkcje takie jak bardzo rozbudowane interfejsy dotykowe z animacjami czy zdalne sterowanie przez aplikacje, choć mogą być atrakcyjne wizualnie, nie zawsze przekładają się na realne oszczędności czy większy komfort, jeśli nie są wspierane przez inteligentne algorytmy sterujące.
Przegląd rynku: polecane modele kotłów 15 kW z podajnikiem
Top 3 kotły na pellet 15 kW: analiza parametrów, cen i opinii użytkowników.
Rynek kotłów na pellet jest bardzo szeroki, a wybór konkretnego modelu może być trudny. Zamiast wskazywać konkretne, szybko zmieniające się modele, skupmy się na cechach, na które warto zwrócić uwagę. Idealny kocioł na pellet 15 kW powinien charakteryzować się sprawnością powyżej 90%, nowoczesnym palnikiem obrotowym lub rynnowym, który zapewnia efektywne spalanie i jest łatwy w czyszczeniu. Ważna jest również pojemność zasobnika paliwa im większy, tym rzadsze zasypywanie. Materiał wymiennika ciepła stal kotłowa o odpowiedniej grubości gwarantuje trwałość. Sterownik powinien oferować wspomniane wcześniej funkcje, takie jak regulacja pogodowa i programowanie tygodniowe. Opinie użytkowników często podkreślają niezawodność, łatwość obsługi i dostępność serwisu jako kluczowe czynniki. Ceny takich kotłów mogą wahać się od około 7 000 do nawet 15 000 zł, w zależności od marki i zaawansowania technologicznego.
Top 3 kotły na ekogroszek 15 kW: co oferują liderzy rynku?
Podobnie jak w przypadku kotłów na pellet, rynek kotłów na ekogroszek oferuje wiele rozwiązań. Szukając idealnego kotła na ekogroszek 15 kW, zwróć uwagę na solidną konstrukcję ze stali kotłowej, która zapewni długą żywotność. Palnik retortowy jest standardem w tej kategorii i powinien być wykonany z żeliwa lub stali o podwyższonej odporności na wysokie temperatury. Pojemność zasobnika na ekogroszek jest ważna dla komfortu użytkowania im większy, tym lepiej. Sterownik powinien umożliwiać podstawowe funkcje sterowania, a także współpracę z termostatem pokojowym. Niezawodność podajnika jest kluczowa, aby uniknąć przestojów w dostawie paliwa. Sprawność kotła powinna być jak najwyższa, najlepiej powyżej 85-90%. Opinie użytkowników często koncentrują się na prostocie obsługi, solidności wykonania i niskich kosztach eksploatacji. Ceny kotłów na ekogroszek 15 kW są zazwyczaj niższe niż kotłów na pellet i mogą zaczynać się od około 5 000 zł, sięgając do 10 000 zł za modele z wyższej półki.
Jak czytać etykiety i tabliczki znamionowe, by zrozumieć, za co płacisz?
Etykiety energetyczne i tabliczki znamionowe to kopalnia wiedzy o kotle, która pozwala świadomie porównywać oferty. Na tabliczce znamionowej znajdziesz podstawowe informacje techniczne: moc nominalną, rok produkcji, numer seryjny, nazwę producenta, model kotła oraz jego klasę energetyczną i emisji. Etykieta energetyczna, wymagana dla urządzeń grzewczych, dostarcza bardziej szczegółowych danych. Znajdziesz na niej m.in. klasę efektywności energetycznej (od G do A+++), sezonową efektywność energetyczną ogrzewania pomieszczeń (w %), a także informacje o poziomie hałasu. Interpretując te dane, możesz porównać, które urządzenie jest najbardziej efektywne energetycznie i przyjazne dla środowiska. Zawsze sprawdzaj zgodność danych na etykiecie z deklaracjami sprzedawcy.
Całkowity koszt inwestycji co oprócz samego kotła musisz wliczyć w budżet?
Widełki cenowe: ile kosztuje dobry kocioł z podajnikiem 15 kW?
Cena samego kotła z podajnikiem o mocy 15 kW jest zróżnicowana i zależy od wielu czynników. Kotły na ekogroszek są zazwyczaj tańsze i można je znaleźć w przedziale cenowym od około 5 000 do 10 000 zł. Kotły na pellet, ze względu na bardziej zaawansowaną konstrukcję palnika i sterownika, są droższe ich ceny zaczynają się od około 7 000 zł i mogą sięgać nawet 15 000 zł lub więcej. Na cenę wpływa marka producenta, jakość użytych materiałów, zaawansowanie sterownika, dodatkowe funkcje (np. automatyczne czyszczenie palnika), a także certyfikaty i normy, które spełnia urządzenie. Pamiętaj, że najniższa cena nie zawsze oznacza najlepszy wybór warto inwestować w sprawdzone rozwiązania od renomowanych producentów.
Koszt montażu i modernizacji kotłowni ukryte wydatki, o których musisz pamiętać.
Inwestycja w nowy kocioł to nie tylko jego zakup. Należy uwzględnić szereg dodatkowych kosztów, które mogą znacząco wpłynąć na całkowity budżet. Profesjonalny montaż przez uprawnionego instalatora to koszt rzędu kilkuset do kilku tysięcy złotych. Często konieczna jest również modernizacja komina, na przykład poprzez montaż odpowiedniego wkładu kominowego, co może kosztować od kilkuset do kilku tysięcy złotych. Warto również rozważyć zakup bufora ciepła, który zwiększa efektywność kotła i komfort użytkowania, a także zasobnika ciepłej wody użytkowej (CWU). Dochodzą do tego koszty zakupu i montażu pomp obiegowych, zaworów, elementów hydraulicznych i elektrycznych. Nie zapomnij również o kosztach demontażu i utylizacji starego kotła.
Pamiętaj, że inwestycja w nowy kocioł to nie tylko jego cena. Całkowity koszt obejmuje również montaż, modernizację kotłowni i ewentualne dodatkowe elementy, które zapewnią efektywną i bezpieczną pracę systemu grzewczego.
Jak znacząco obniżyć koszt zakupu? Dofinansowanie z programu "Czyste Powietrze"
Kto może skorzystać z dotacji na wymianę kotła?
Program "Czyste Powietrze" to szansa na znaczące obniżenie kosztów wymiany starego, nieefektywnego źródła ciepła na nowoczesny, ekologiczny kocioł. Kluczowe jest spełnienie kryteriów dochodowych. Program przewiduje trzy poziomy dofinansowania: podstawowy, podwyższony i najwyższy, zależne od przeciętnego miesięcznego dochodu na osobę w gospodarstwie domowym. Im niższy dochód, tym wyższa kwota dotacji. Należy pamiętać, że program skierowany jest do właścicieli lub współwłaścicieli domów jednorodzinnych lub wydzielonych lokali mieszkalnych w budynkach jednorodzinnych. Warto śledzić aktualne zasady programu, ponieważ mogą one ulegać zmianom.Jakie warunki musi spełniać kocioł 15 kW, by kwalifikował się do programu?
Aby kocioł 15 kW mógł zostać objęty dofinansowaniem z programu "Czyste Powietrze", musi spełniać szereg ściśle określonych warunków. Najważniejszym z nich jest posiadanie przez urządzenie certyfikatów 5. Klasy oraz Ecodesign. Dodatkowo, kocioł musi znajdować się na liście Zielonych Urządzeń i Materiałów (ZUM), która jest dostępna na stronach internetowych programu. W przypadku kotłów na pellet, często wymagany jest tzw. podwyższony standard emisji, który jest jeszcze bardziej restrykcyjny niż standardowe wymogi Ecodesign. Przed zakupem kotła zawsze upewnij się, że wybrany model znajduje się na liście ZUM i spełnia wszystkie wymagania programu.
Składanie wniosku krok po kroku jak bezboleśnie przejść przez formalności?
Proces składania wniosku o dofinansowanie z programu "Czyste Powietrze" może wydawać się skomplikowany, ale przy odpowiednim przygotowaniu jest jak najbardziej wykonalny. Pierwszym krokiem jest przygotowanie niezbędnych dokumentów, takich jak potwierdzenie dochodów, dokumenty potwierdzające prawo własności nieruchomości oraz dane techniczne planowanego do zakupu kotła. Następnie należy wypełnić wniosek, który można złożyć online za pośrednictwem portalu beneficjenta lub tradycyjnie, w wojewódzkim funduszu ochrony środowiska i gospodarki wodnej (WFOŚiGW). Po złożeniu wniosku następuje etap oczekiwania na decyzję. Po jej otrzymaniu i zrealizowaniu inwestycji, należy złożyć wniosek o płatność wraz z fakturami i innymi wymaganymi dokumentami. W razie wątpliwości, warto skorzystać z pomocy doradców energetycznych lub pracowników WFOŚiGW.
Najczęstsze błędy przy wyborze i instalacji ucz się na cudzych potknięciach
Niewłaściwy dobór mocy konsekwencje dla komfortu i portfela.
Jak już wielokrotnie podkreślałem, niewłaściwy dobór mocy kotła to jeden z najpoważniejszych błędów, jakie można popełnić. Przewymiarowanie prowadzi do nieefektywnej pracy, zwiększonego zużycia paliwa, szybszego zużycia kotła i wyższych emisji. Z kolei niedowymiarowanie skutkuje niedogrzaniem pomieszczeń, brakiem komfortu cieplnego, a także ciągłą pracą kotła na maksymalnej mocy, co również nie jest optymalne dla jego żywotności i efektywności. Dlatego tak ważne jest, aby przed zakupem dokładnie obliczyć zapotrzebowanie na ciepło dla swojego domu, najlepiej z pomocą fachowca.
Brak dopasowania kotła do istniejącej instalacji kominowej na co uważać?
Kocioł z podajnikiem, niezależnie od mocy, wymaga odpowiedniej współpracy z systemem kominowym. Brak dopasowania kotła do komina może prowadzić do problemów z ciągiem, niepełnego spalania, a nawet zagrożenia dla bezpieczeństwa. Należy zwrócić uwagę na takie parametry jak średnica i wysokość komina, jego materiał wykonania oraz stan techniczny. Stare, nieodpowiednie kominy mogą wymagać modernizacji, na przykład poprzez montaż specjalnego wkładu kominowego, który zapewni właściwy ciąg i szczelność. Zawsze przed zakupem kotła skonsultuj się z kominiarzem lub instalatorem, aby ocenić stan techniczny Twojego komina i ewentualne potrzeby modernizacyjne.
Przeczytaj również: Kocioł Zębiec: Ranking, Opinie i Poradnik Wyboru 2024
Ignorowanie kwestii serwisu i dostępności części problem, który pojawi się w najmniej oczekiwanym momencie.
Wybierając kocioł, warto pomyśleć o przyszłości i potencjalnych awariach. Ignorowanie kwestii serwisu i dostępności części zamiennych to błąd, który może okazać się bardzo kosztowny. Nawet najlepsze kotły wymagają okresowych przeglądów i konserwacji, a w razie awarii szybkiej naprawy. Wybieraj producentów, którzy mają rozwiniętą sieć serwisową w Twoim regionie i oferują łatwy dostęp do oryginalnych części zamiennych. Brak takiego wsparcia może oznaczać długotrwałe przestoje w ogrzewaniu, zwłaszcza w sezonie zimowym, oraz wysokie koszty napraw realizowanych przez przypadkowych fachowców. Zawsze sprawdzaj opinie o serwisie i dostępności części przed podjęciem decyzji o zakupie.
